Www Math Colostate Edu Clayton Teaching M113f10 Homework Hw9solutions Pdf
F(x)=(-x+2)4 where 0 x 3
F(x)=(-x+2)4 where 0 x 3-



15s Funciones Ii Funcion Matematicas Funciones Y Mapeos



4 Let F X X3 4x 2 Find The Value Off 14 A 0 B Chegg Com



Ejercicios Relacion X Docsity



If F X X 2 X 4 Show That F 3 0 Youtube



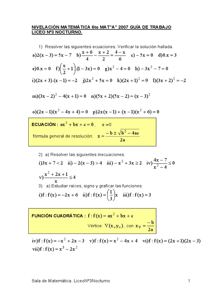
Algebra 4to Ecuaciones E Inecuaciones De 2º Grado



Domain Range A Find The Natural Domain 3 1 F X Chegg Com



Funciones Polinomicas Ppt Descargar



Given The Two Expressions Ax X 2x 5 2x 4 And Bx 2 Gauthmath



The Function F X Is Defined As F X X 2 Ax B 0 X 2 And 3x 2 2 X 4 And 2ax 5b 4 X 8 Sarthaks Econnect Largest Online Education Community



If F X X 2 2x Find F A Where A 0 1 2 4 5 0 0 2 3



How To Solve The Equation Math Z 4 6z 3 8z 2 0 Math Quora



5 E Funciones Polinomiales Ejercicios Las Matematicas



How Do You Find The Discriminant Of X 2 2x 4 0 And Use It To Determine If The Equation Has One Two Real Or Two Imaginary Roots Socratic



If F X 25 X 4 1 4 For 0 X Sqrt5 Then F F 1 2



Solve X 3 9x 1 0 For The Root Between X 2 And X 4 By Using Bisection Method Solution Mathematics 3 M3 Notes Question Answer Collection Solution



View Question Just A Few Questions



Http Mestreacasa Gva Es C Document Library Get File Folderid Name Dlfe Pdf



Http Www Mpsaz Org Rmhs Staff Lxcoleman Trig Test Practice Files Review Chapter 3 Notes Solutions Pdf



Matematicas Uam Es Fernando Chamizo Asignaturas Calc1inf1011 Sol Des Pdf



F X X2 4x 3 Para X 0 4 Geogebra



Misc 1 F X X2 0 X 3 3x G X X2 0 X 2 3x



Soluciones Derivadas By Jose Antonio Tarifa Garzon Issuu



F X X 2 1 X X 3 X 4 X 1 0 X 2 2 X 3 Askiitians



Soluciones Derivadas



8 5 Approximations Of Roots Of Functions Newton S Method



Soluciones Derivadas



2 5 Limits At Infinity Manualzz



Matematicas Uam Es Fernando Chamizo Asignaturas Calc1inf1011 Sol Des Pdf



Soluciones Unidad 3



Ejercicios De Clase Lim 5 X X 1 Lim X 2 X 2 Lim X 2 X 2 4 0



Frank Solutions For Class 10 Maths Chapter 10 Remainder And Factor Theorems Is Available In Free Pdf Download



Ex 7 9 19 Direct Integrate 6x 3 X2 4 Dx From 0 To 2



1



The Domain Of The Function F X 1 Sqrt X X Is A Oo Oo B 0 Oo C Oo 0 D Oo Oo 0



Www Math Colostate Edu Clayton Teaching M113f10 Homework Hw9solutions Pdf



Funciones Cuadraticas



Www Tamdistrict Org Cms Lib Ca Centricity Domain 3 12 Exam Solutions with detailed solutions Pdf



Http Www Eastauroraschools Org Cms Lib Ny Centricity Domain 323 Ch 8 review sheet answers Pdf



Determine Qetermine The ation And Values Of The Gauthmath



15s Funciones Ii Funcion Matematicas Funciones Y Mapeos



Solved If F X 4x 2 3x 2 Evaluate F 1 State The Domain Of The Function F X X 3 X 1 Write The Equation Of The Line That Passes Th Course Hero



Revision Index Page 2 Page 9 Page 16



The Absolute Minimum And Maximum Values Of F X 4x X 22 X Epsilon 2 92 Are Respectively



Funciones Polinomicas Ppt Descargar



If F X 4x 3 X 2 2x 1 And G X Min F T 0lt Tlt X 0lt Xlt 1 And G X 3 X 1lt Xlt 2 Then G 1 4 G 3 4 G 5 4 Is A 7 4 B 9 4 C 13 4 D 5 2



Answered Suppose That Functions F X And G X Bartleby



What Is The Minimum Value Of F X X 1 X 2 X 3 Quora



Matematicas Uam Es Fernando Chamizo Asignaturas Calc1inf1011 Sol Des Pdf



Q Tbn And9gcsmm4ktmxrxm10kmsg3wqo5rzire Ogwbm0v2tajixhbesgniod Usqp Cau



If F X X 4 4x 3 3x 2 2x 1 Then Find Whether F 0 X F 1 F 2 Maths Polynomials Meritnation Com



1



How To Factorise X 3 3x 2 4 Quora



If H X X 2 4 X 3 Find The Following H 1 Chegg Com



Soluciones Derivadas



Consider The Function Ff Defined On The Interval Chegg Com



Integrales Definidas Ejercicios Resueltos Representaciones Graficas Ejercicios De Areas Con Integrales



Www Utdallas Edu Efrom Solhw Pdf



Www3 Nd Edu Apilking Math Work Old exams Exam2f07solutions Pdf



1



Let G X 2f X 2 F 2 X And F X Lt 0 For All X 0 2 Find The Interval Of Increase And Brainly In



Solucionario Libro 4esob By Junjete Issuu



3 7 Graph Of Rational Functions Ppt Download



Ejercicios De Funciones



Let F X 3 X 2 4 X 3 5 X 4 Then F X 0 Has A Exactly One Real Root In 2 3 B Exactly One Real Root In 3 4 C At Least One Real Root In 2 3 D None Of These



Polynomial Functions



Matematicas Uam Es Fernando Chamizo Asignaturas Calc1inf1011 Sol Des Pdf



Http Mcdowellakmath Weebly Com Uploads 2 4 5 4 Taylor Test Key Pdf



Find The Absolute Maximum And Minimum Values Of The Function F X Y Xy 2 Y 2 X On The Region D Mathematics Stack Exchange



Funciones F X 2 2 X 2 2x 5 Si 9 X X 4 Si X Si Dom F 0 1 Determine El Dominio De Las Siguientes Funciones Pdf Free Download



Let F X X0for 0 Lt X Lt 3 For Chegg Com



Soluciones Limites



Efisd Net Common Pages Displayfile Aspx Itemid



Http Math Colorado Edu Nita Someexam2practicesol Pdf



You Are Given F 0 1 F 3 2 F 3 0 5 3 Chegg Com



1 Continuidad En Varias Variables Pdf Free Download



Question 1 The Relation F Is Defined By F X X 2 0 X 3 3x 3 X 10 The Brainly In



Let F X Min 1 2 3x 2 4 5x 2 4 For 0 X 1 Then Maximum Value Of F X Is



Madasmaths Com Archive Maths Booklets Standard Topics Various Function Exam Questions Pdf



Calc Iii Finding Absolute Max And Min In A Triangular Region Youtube



Chapter 8 Exploring Polynomial Functions Jennifer Huss 8



Evaluate The Integral 4f X Dx 3 Where F X 2 If 3 X 06 X2 If 0 X 4 Youtube



Find The Absolute Maximum And Absolute Minimum Values Chegg Com



Exercises Limits



Objective To Find The Zeros Of A Quadratic Function And Solve A Quadratic Equation Ppt Download



If F X X 3 3x 2 3x 4 Find F 2 F 2 F 0 Brainly In



Ecuaciones Y Sistemas



Opnu 12 If F X X 1 X 2 X 3 And A 0 B 4 Then The Value Of C By Using Mean Value Theorem Is A 2 V3 2 6 3 23 C 2 23 1 2 13 Thi S 5 4 63



Www Tamdistrict Org Cms Lib Ca Centricity Domain 3 12 Exam Solutions with detailed solutions Pdf



1 Solve A 12x 517 B 13 4x1 9 2 Solve A X2 Chegg Com



The Function F X X 3 X 1 F X X 2 4 3x 2 13 4 X 1 Is Sarthaks Econnect Largest Online Education Community



Answered Sketch The Graph Of A Function That Bartleby



Rd Sharma Class 12 Solutions Chapter 18 Maxima And Minima



Verify Lagrange Mean Value Theorem For The Function F X X 1 X 2 X 3 On 0 4 Maths Application Of Derivatives Meritnation Com



Give The Laplace Transform Of F X 2x 4 0 Leq X Chegg Com



3x 4 3 F X X2 T 2 2 4 F A Vx2 X 1 L 2 Chegg Com



X 2 Soluciones A Los Ejercicios De La Unidad 1 Saca Factor Comun 2 Expresa Los Polinomios Siguientes Como Cuadrado De Un Binomio Pdf Free Download



The Number Of Points Of Maxima For F X X 1 X 2 X 3 X 4 Is



Http Media Collegeboard Com Digitalservices Pdf Ap Apcentral Ap15 Calculus Ab Q5 Pdf



Www3 Nd Edu Apilking Math Work Old exams Exam1f08soluutions Pdf



Tema05 Polinomios 3º V2



F X X 2 2x 4 X 2 F X X 2 4x X 2 2 F X 8 X 2 3 How To Find The Domain Of F X X And Y Intercepts Vertical Asymptotes The Critical Numbers Concave Up And Down And Sketch Graph Socratic



Chapter 8 Exploring Polynomial Functions Jennifer Huss 8



Nivelacion Guia Exponenciacion Algebra Abstracta



Find Equation Of Tangent To Y X 3 1 X 2 Find Interval Where



Let F X 04 30if X Lt 3if 3 X Lt 0if Chegg Com


0 件のコメント:
コメントを投稿